
E-mail: sdcljxhg@163.com
Mobile Phone: +86-13656371111 +86-13906327388
Telephone: +86-632-8056272
CAS No. 40623-75-4
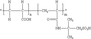
Structural Formula:
AA/AMPS is the copolymer of acrylic acid and 2-acrylanmido-2-methylpropanesulfonic acid. Due to including carboxylic group (scale inhibition and dispersion) and sulfonic acid group (strong polarity) in this copolymer, AA/AMPS has high calcium tolerance and good scale inhibition for calcium phosphate, calcium carbonate and zinc scale. When built with organophosphines, the synergic effect is obvious. AA/AMPS is suitable to be used in water quality of high pH and high alkaline, it is one of the ideal scale inhibitor and dispersant on high concentration index.
| Items | Index | |
|---|---|---|
| Appearance | Colorless to light yellow viscous liquid | Colorless to light yellow viscous liquid |
| Solid content % | 30.0 min | 40.0 min |
| Free monomer (as AA)% | 0.50 max | 0.50 max |
| Density (20℃)g/cm3 | 1.10 min | 1.15 min |
| pH(1% water solution) | 3.0 max | 3.5-4.5 |
AA/AMPS can be used as scale inhibitor and dispersant in open circulating cool water system, oilfield refill water system, metallurgy system and iron & steel plants to prevent sediment of ferric oxide. When built with organophosphorines and zinc salt, the suitable pH value is 7.0~9.5.
AA/AMPS can also be used as dyeing auxiliaries for textile.
AA/AMPS liquid: 200L plastic drum,IBC(1000L),customers’ requirement.
AA/AMPS solid: 20kg/bag, customers‘ requirement. Storage for ten months in shady room and dry place.
Time:2018/2/1 22:10:25 Hits:1309